Skip to contents

Methods to plot growth model fits together with the data and, alternatively, plot diagnostics

Usage

# S4 method for class 'nonlinear_fit,missing'
plot(x, y, log = "", which = c("fit", "diagnostics"), ...)

# S4 method for class 'nonlinear_fit'
lines(x, ...)

# S4 method for class 'easylinear_fit,missing'
plot(x, y, log = "", which = c("fit", "diagnostics"), ...)

# S4 method for class 'smooth.spline_fit,missing'
plot(x, y, ...)

# S4 method for class 'easylinear_fit'
lines(x, ...)

# S4 method for class 'multiple_fits,missing'
plot(x, y, ...)

Arguments

x

an object returned by a model fitting function of package growthrates, that can contain one or multiple fits.

y

(ignored) for compatibility with the default plot method.

log

a character string which contains "y" if the y axis is to be logarithmic.

which

either "fit" (default) or "diagnostics".

...

other arguments pased to the plotting methods, see plot.default and par.

Details

The plot methods detect automatically which type of plot is appropriate, depending on the class of x and can plot either one single model fit or a complete series (multiple fits). In the latter case it may be wise to redirect the graphics to an external file (e.g. a pdf) and / or to use tomething like par(mfrow=c(3,3)).

The lines-method is currently only available for single fits.

If you need more control, you can of course also write own plotting functions.

Examples


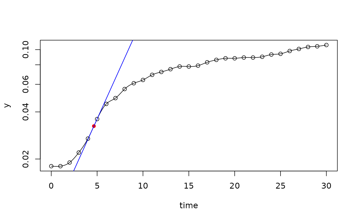
data(bactgrowth)
splitted.data <- multisplit(bactgrowth, c("strain", "conc", "replicate"))

## get table from single experiment
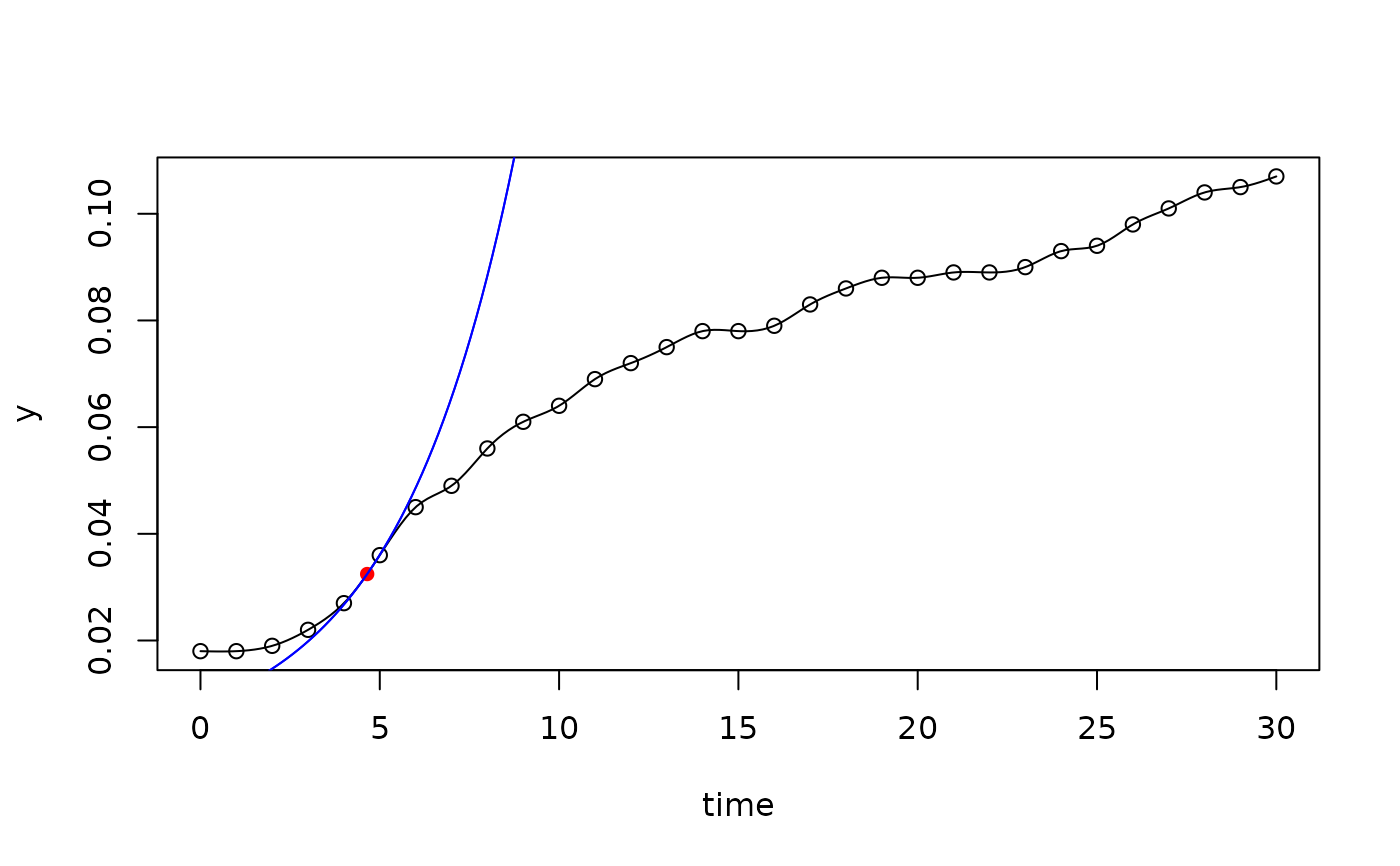
dat <- splitted.data[["D:0:1"]]

fit1 <- fit_spline(dat$time, dat$value)
plot(fit1, log="y")

plot(fit1)

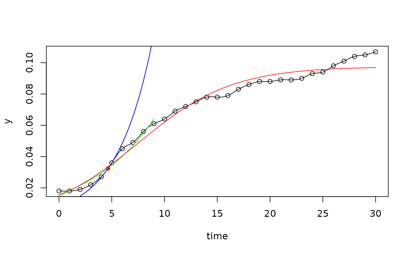
## derive start parameters from spline fit
p <- coef(fit1)

## subset of first 10 data
first10 <-  dat[1:10, ]
fit2 <- fit_growthmodel(grow_exponential, p=p, time=first10$time, y=first10$value)

p <- c(coef(fit1), K = max(dat$value))
fit3 <- fit_growthmodel(grow_logistic, p=p, time=dat$time, y=dat$value, transform="log")

plot(fit1)
lines(fit2, col="green")
lines(fit3, col="red")



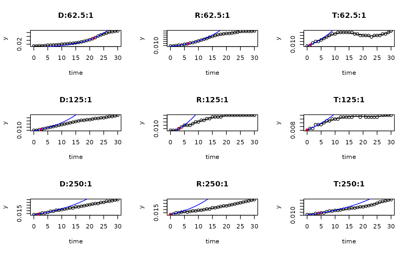
all.fits <- all_splines(value ~ time | strain + conc + replicate, data = bactgrowth)
par(mfrow=c(3,3))
plot(all.fits)









## it is also possible to plot a single fit or a subset of the fits
par(mfrow=c(1,1))
plot(all.fits[["D:0:1"]])

par(mfrow=c(2,2))
plot(all.fits[1:4])


## plot only the 'R' strain
# par(mfrow=c(4, 6))
plot(all.fits[grep("R:", names(all.fits))])