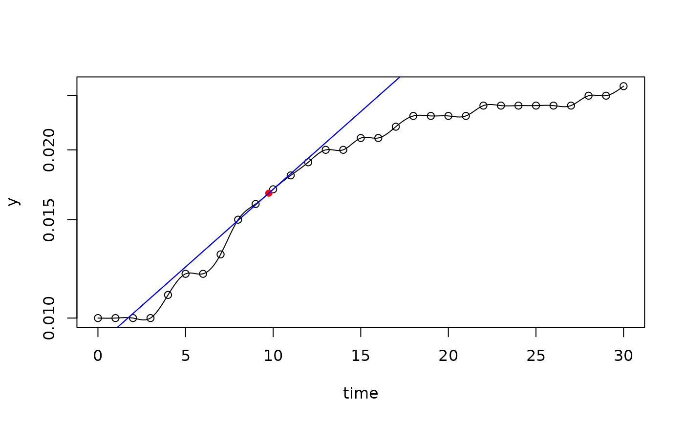
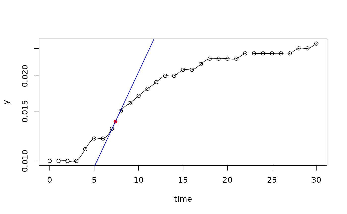
Determine maximum growth rates from the first derivative of a smoothing spline.
Usage
fit_spline(time, y, optgrid = length(time), ...)Arguments
- time
vector of independent variable.
- y
vector of dependent variable (concentration of organisms).
- optgrid
number of steps on the x-axis used for the optimum search . algorithm. The default should work in most cases, as long as the data are equally spaced. A smaller number may lead to non-detectable speed-up, but has the risk that the search gets trapped in a local minimum.
- ...
other parameters passed to
smooth.spline, see details.
Details
The method was inspired by an algorithm of Kahm et al. (2010), with different settings and assumptions. In the moment, spline fitting is always done with log-transformed data, assuming exponential growth at the time point of the maximum of the first derivative of the spline fit.
All the hard work is done by function smooth.spline from package
stats, that is highly user configurable. Normally, smoothness is
automatically determined via cross-validation. This works well in many cases,
whereas manual adjustment is required otherwise, e.g. by setting spar
to a fixed value \([0, 1]\) that also disables cross-validation.
References
Kahm, M., Hasenbrink, G., Lichtenberg-Frate, H., Ludwig, J., Kschischo, M. 2010. grofit: Fitting Biological Growth Curves with R. Journal of Statistical Software, 33(7), 1-21, doi:10.18637/jss.v033.i07
See also
Other fitting functions:
all_easylinear(),
all_growthmodels(),
all_splines(),
fit_easylinear(),
fit_growthmodel()
Examples
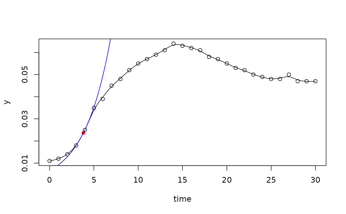
data(bactgrowth)
splitted.data <- multisplit(bactgrowth, c("strain", "conc", "replicate"))
dat <- splitted.data[[2]]
time <- dat$time
y <- dat$value
## automatic smoothing with cv
res <- fit_spline(time, y)
plot(res, log="y")
plot(res)
coef(res)
#> y0 mumax
#> 0.006562443 0.335991063
## a more difficult data set
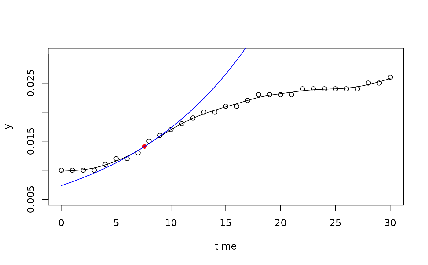
dat <- splitted.data[[56]]
time <- dat$time
y <- dat$value
## default parameters
res <- fit_spline(time, y)
plot(res, log="y")
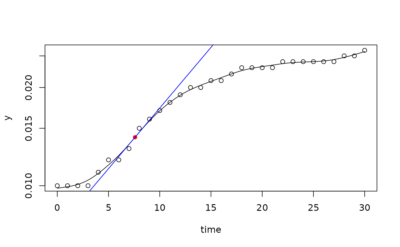
## small optgrid, trapped in local minimum
res <- fit_spline(time, y, optgrid=5)
plot(res, log="y")
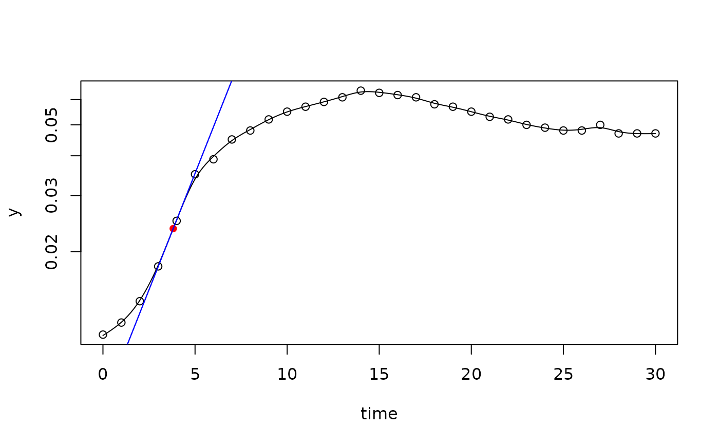
## manually selected smoothing parameter
res <- fit_spline(time, y, spar=.5)
plot(res, log="y")
plot(res, ylim=c(0.005, 0.03))