Skip to contents

Determine maximum growth rates by fitting nonlinear models.

Usage

fit_growthmodel(
  FUN,
  p,
  time,
  y,
  lower = -Inf,
  upper = Inf,
  which = names(p),
  method = "Marq",
  transform = c("none", "log"),
  control = NULL,
  ...
)

Arguments

FUN

function of growth model to be fitted.

p

named vector of start parameters and initial values of the growth model.

time

vector of independent variable.

y

vector of dependent variable (concentration of organisms).

lower

lower bound of the parameter vector (optional).

upper

upper bound of the parameter vector (optional).

which

vector of parameter names that are to be fitted.

method

character vector specifying the optimization algorithm (see modFit).

transform

fit model to non-transformed or log-transformed data.

control

A list of control parameters for the optimizers. See Details.

...

additional parameters passed to the optimizer.

Value

object with parameters of the fit.

Details

This function calls modFit from package FME. Syntax of control parameters and available options may differ, depending on the optimizer used, except control=list(trace=...) that switches tracing on and off for all methods and is either TRUE, or FALSE, or an integer value like 0, 1, 2, 3, depending on the optimizer.

See also

modFit about constrained fitting of models to data

Other fitting functions: all_easylinear(), all_growthmodels(), all_splines(), fit_easylinear(), fit_spline()

Examples


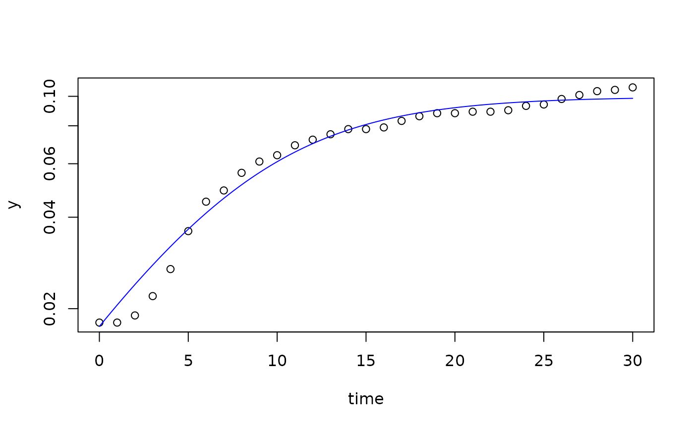
data(bactgrowth)
splitted.data <- multisplit(bactgrowth, c("strain", "conc", "replicate"))

## get one element either by index or by name
dat <- splitted.data[[1]]
dat <- splitted.data[["D:0:1"]]

p <- c(y0 = 0.01, mumax = 0.2, K = 0.1)

## unconstraied fitting
fit1 <- fit_growthmodel(FUN = grow_logistic, p = p, dat$time, dat$value)
coef(fit1)
#>        y0     mumax         K 
#> 0.0174826 0.2000701 0.0996260 
summary(fit1)
#> 
#> Parameters:
#>       Estimate Std. Error t value Pr(>|t|)    
#> y0    0.017483   0.001581   11.06 9.98e-12 ***
#> mumax 0.200070   0.013979   14.31 2.10e-14 ***
#> K     0.099626   0.001850   53.87  < 2e-16 ***
#> ---
#> Signif. codes:  0 ‘***’ 0.001 ‘**’ 0.01 ‘*’ 0.05 ‘.’ 0.1 ‘ ’ 1
#> 
#> Residual standard error: 0.004246 on 28 degrees of freedom
#> 
#> Parameter correlation:
#>            y0   mumax       K
#> y0     1.0000 -0.8689  0.4537
#> mumax -0.8689  1.0000 -0.7048
#> K      0.4537 -0.7048  1.0000

## optional box-constraints
lower <- c(y0 = 1e-6, mumax = 0,   K = 0)
upper <- c(y0 = 0.05, mumax = 5,   K = 0.5)
fit1 <- fit_growthmodel(
  FUN = grow_logistic, p = p, dat$time, dat$value,
  lower = lower, upper = upper)

plot(fit1, log="y")