Skip to contents

Determine maximum growth rates from the log-linear part of a growth curve using a heuristic approach similar to the “growth rates made easy”-method of Hall et al. (2013).

Usage

fit_easylinear(time, y, h = 5, quota = 0.95)

Arguments

time

vector of independent variable.

y

vector of dependent variable (concentration of organisms).

h

width of the window (number of data).

quota

part of window fits considered for the overall linear fit (relative to max. growth rate)

Value

object with parameters of the fit. The lag time is currently estimated as the intersection between the fit and the horizontal line with \(y=y_0\), where y0 is the first value of the dependent variable. The intersection of the fit with the abscissa is indicated as y0_lm (lm for linear model). These identifieres and their assumptions may change in future versions.

Details

The algorithm works as follows:

  1. Fit linear regressions to all subsets of h consecutive data points. If for example \(h=5\), fit a linear regression to points 1 ... 5, 2 ... 6, 3... 7 and so on. The method seeks the highest rate of exponential growth, so the dependent variable is of course log-transformed.

  2. Find the subset with the highest slope \(b_{max}\) and include also the data points of adjacent subsets that have a slope of at least \(quota \cdot b_{max}\), e.g. all data sets that have at least 95% of the maximum slope.

  3. Fit a new linear model to the extended data window identified in step 2.

References

Hall, BG., Acar, H, Nandipati, A and Barlow, M (2014) Growth Rates Made Easy. Mol. Biol. Evol. 31: 232-38, doi:10.1093/molbev/mst187

See also

Examples

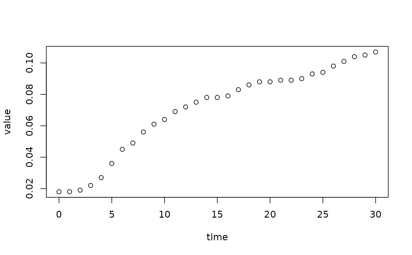
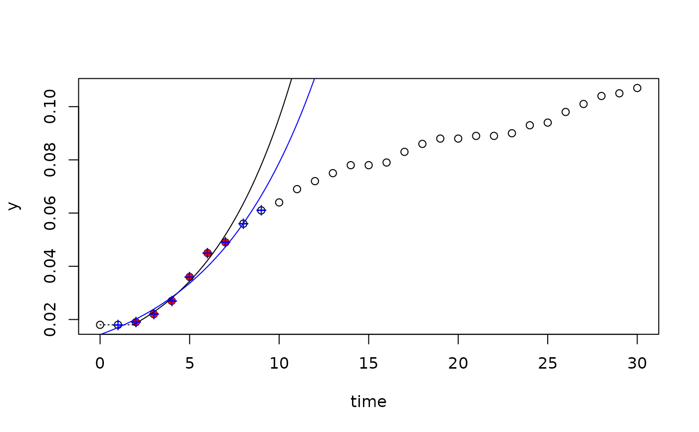
data(bactgrowth)

splitted.data <- multisplit(bactgrowth, c("strain", "conc", "replicate"))
dat <- splitted.data[[1]]

plot(value ~ time, data=dat)

fit <- fit_easylinear(dat$time, dat$value)

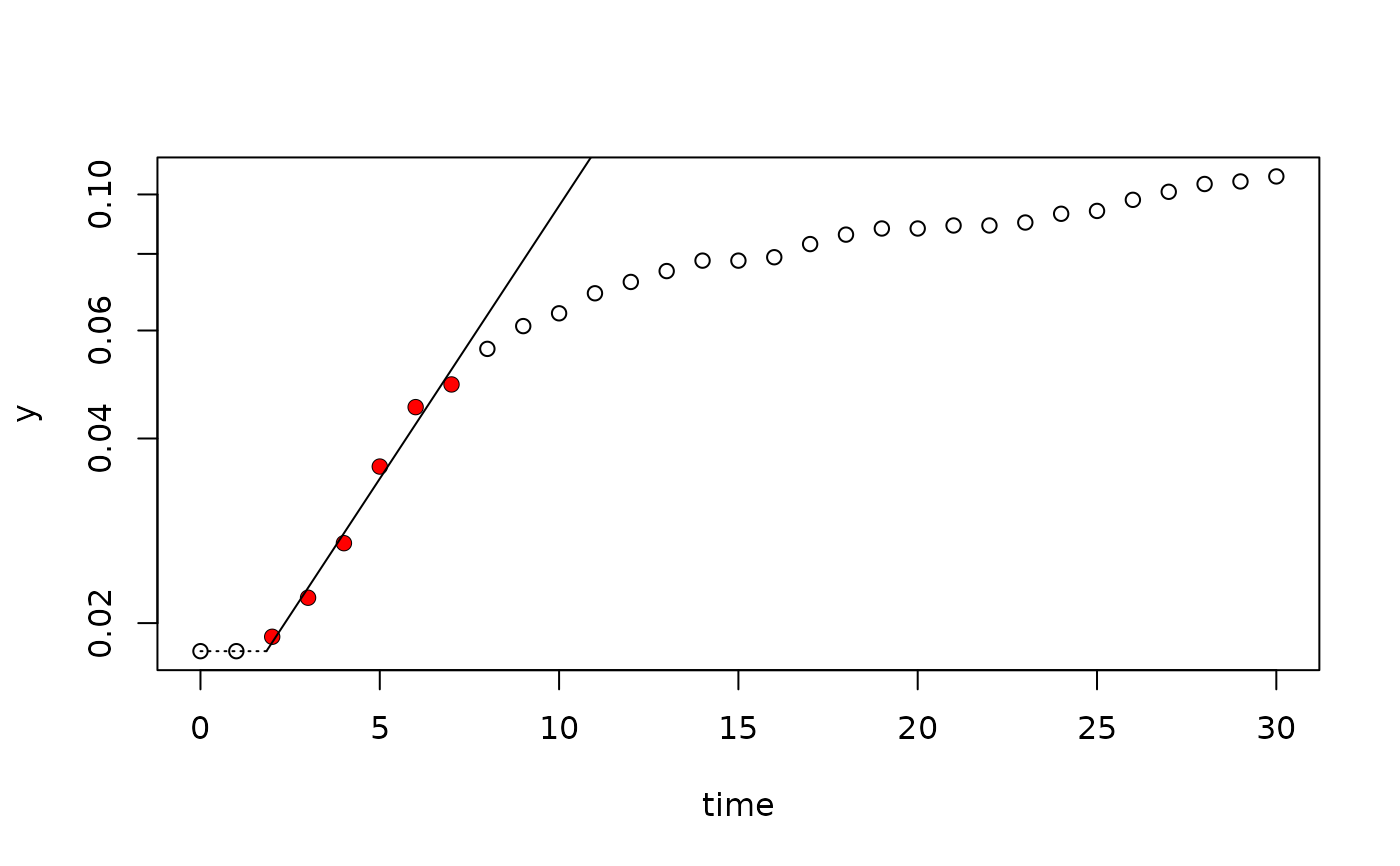
plot(fit)

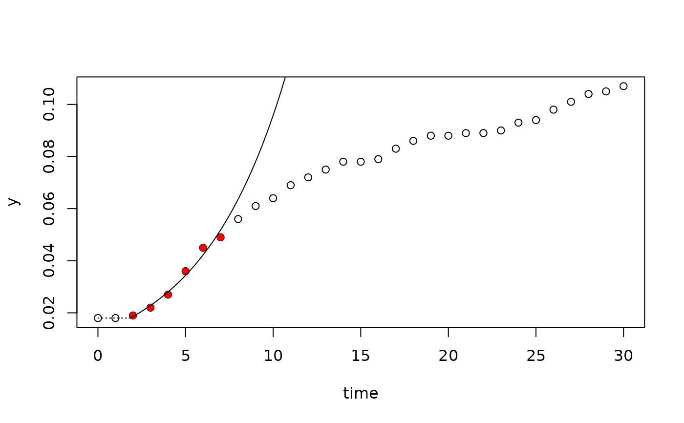
plot(fit, log="y")

plot(fit, which="diagnostics")


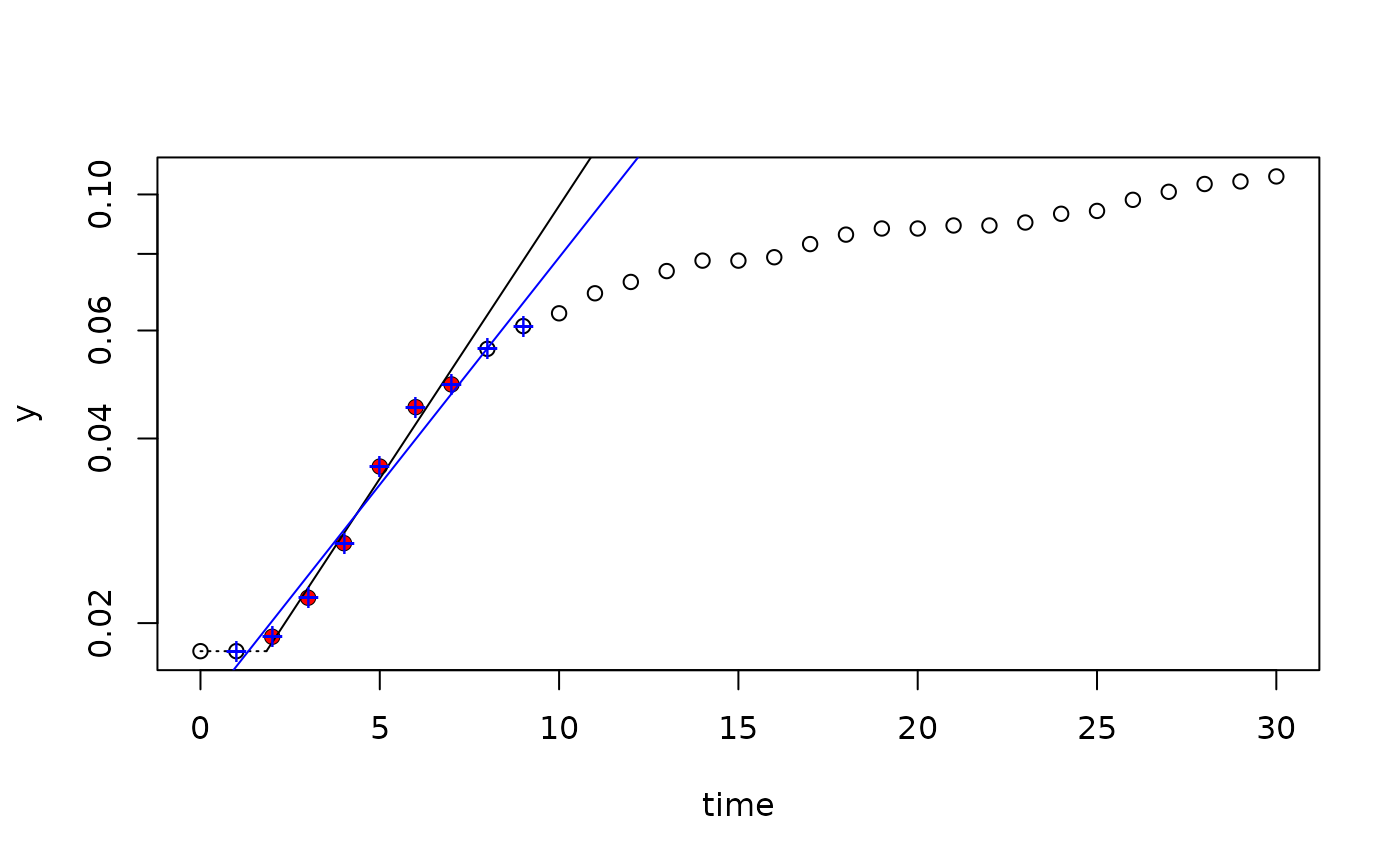
fitx <- fit_easylinear(dat$time, dat$value, h=8, quota=0.95)

plot(fit, log="y")
lines(fitx, pch="+", col="blue")


plot(fit)
lines(fitx, pch="+", col="blue")