Skip to contents

Determine maximum growth rates from log-linear part of the growth curve for a series of experiments by using smoothing splines.

Usage

all_splines(...)

# S3 method for class 'formula'
all_splines(formula, data = NULL, optgrid = 50, subset = NULL, ...)

# S3 method for class 'data.frame'
all_splines(
  data,
  grouping = NULL,
  time = "time",
  y = "value",
  optgrid = 50,
  ...
)

Arguments

...

generic parameters, including parameters passed to smooth.spline, see details.

formula

model formula specifying dependent, independent and grouping variables in the form: dependent ~ independent | group1 + group2 + ....

data

data frame of observational data.

optgrid

number of steps on the x-axis used for searching the maximum of the first derivative of the spline. The default should work in most cases, as long as the data are equally spaced. A smaller number may lead to non-detectable speed-up, but has the risk that the search is trapped in a local minimum.

subset

a specification of the rows to be used: defaults to all rows.

grouping

vector of grouping variables defining subsets in the data frame.

time

character vectors with name independent variable.

y

character vector with name of dependent variable.

Value

object with parameters of the fit.

Details

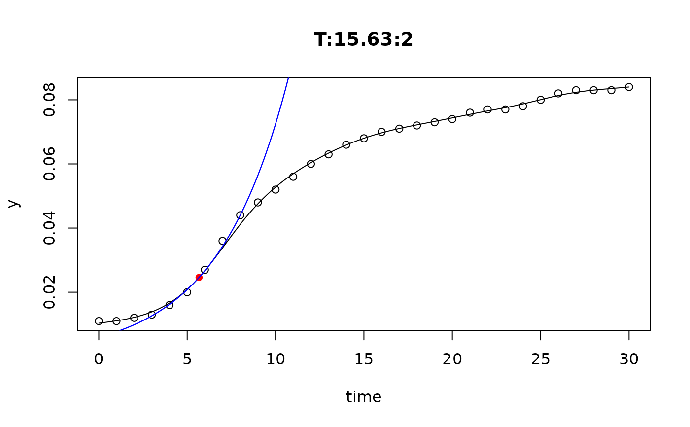
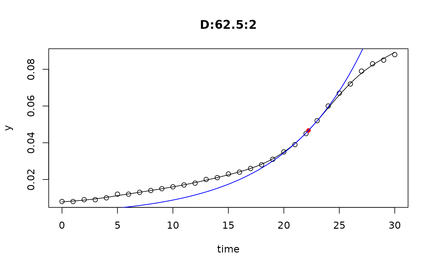
The method was inspired by an algorithm of Kahm et al. (2010), with different settings and assumptions. In the moment, spline fitting is always done with log-transformed data, assuming exponential growth at the time point of the maximum of its first derivative.

All the hard work is done by function smooth.spline from package stats, that is highly user configurable. Normally, smoothness is automatically determined via cross-validation. This works well in many cases, whereas manual adjustment is required otherwise, e.g. by setting spar to a fixed value \([0,1]\) that also disables cross-validation. A typical case where cross validation does not work is, if time dependent measurements are taken as pseudoreplicates from the same experimental unit.

References

Kahm, M., Hasenbrink, G., Lichtenberg-Frate, H., Ludwig, J., Kschischo, M. 2010. grofit: Fitting Biological Growth Curves with R. Journal of Statistical Software, 33(7), 1-21, doi:10.18637/jss.v033.i07

See also

Examples


data(bactgrowth)
L <- all_splines(value ~ time | strain + conc + replicate,
                 data = bactgrowth, spar = 0.5)

#par(mfrow=c(4, 3))
plot(L)








































































results <- results(L)
xyplot(mumax ~ log(conc + 1)|strain, data=results)


## fit splines at lower grouping levels
L2 <- all_splines(value ~ time | conc + strain,
                    data = bactgrowth, spar = 0.5)
plot(L2)





































## total data set without any grouping
L3 <- all_splines(value ~ time,
                    data = bactgrowth, spar = 0.5)
#par(mfrow=c(1, 1))
plot(L3)