Skip to contents

Class-specific methods of package growthrates to make predictions.

Usage

# S4 method for class 'growthrates_fit'
predict(object, ...)

# S4 method for class 'smooth.spline_fit'
predict(object, newdata = NULL, ..., type = c("exponential", "spline"))

# S4 method for class 'easylinear_fit'
predict(object, newdata = NULL, ..., type = c("exponential", "no_lag"))

# S4 method for class 'nonlinear_fit'
predict(object, newdata, ...)

# S4 method for class 'multiple_fits'
predict(object, ...)

Arguments

object

name of a 'growthrates' object for which prediction is desired.

...

additional arguments affecting the predictions produced.

newdata

an optional data frame with column 'time' for new time steps with which to predict.

type

type of predict. Can be 'exponential' or 'spline' for fit_spline, resp. 'exponential' or 'no_lag' for fit_easylinear.

Details

The implementation of the predict methods is still experimental and under discussion.

Examples


data(bactgrowth)
splitted.data <- multisplit(bactgrowth, c("strain", "conc", "replicate"))

## get table from single experiment
dat <- splitted.data[[1]]

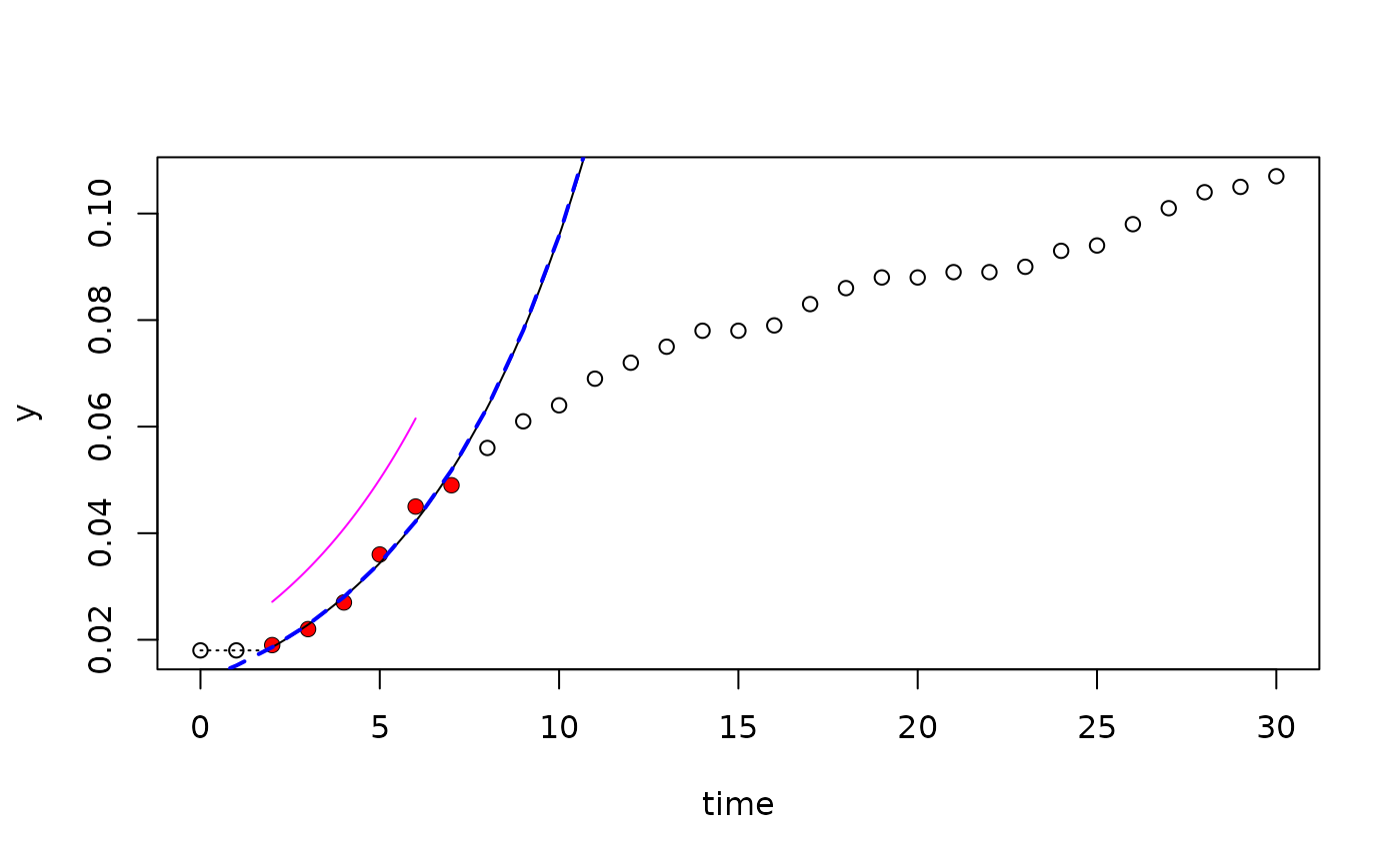
## --- linear fit -----------------------------------------------------------
fit <- fit_easylinear(dat$time, dat$value)

plot(fit)
pr <- predict(fit)
lines(pr[,1:2], col="blue", lwd=2, lty="dashed")

pr <- predict(fit, newdata=list(time=seq(2, 6, .1)), type="no_lag")
lines(pr[,1:2], col="magenta")



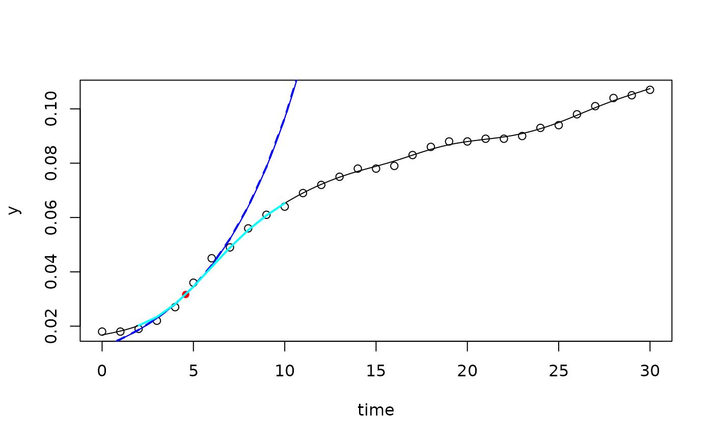
## --- spline fit -----------------------------------------------------------
fit1 <- fit_spline(dat$time, dat$value, spar=0.5)
coef(fit1)
#>         y0      mumax 
#> 0.01234962 0.20570733 
summary(fit1)
#> Fitted smoothing spline:
#> Call:
#> smooth.spline(x = time, y = ylog, spar = 0.5)
#> 
#> Smoothing Parameter  spar= 0.5  lambda= 0.0001077001
#> Equivalent Degrees of Freedom (Df): 9.337058
#> Penalized Criterion (RSS): 0.02368248
#> GCV: 0.001564423
#> 
#> Parameter values of exponential growth curve:
#> Maximum growth at x= 4.576604 , y= 0.03166038 
#> y0 = 0.01234962 
#> mumax = 0.2057073 
#> 
#> r2 of log transformed data= 0.9974769 

plot(fit1)
pr <- predict(fit1)
lines(pr[,1:2], lwd=2, col="blue", lty="dashed")
pr <- predict(fit1, newdata=list(time=2:10), type="spline")
lines(pr[,1:2], lwd=2, col="cyan")



## --- nonlinear fit --------------------------------------------------------
dat <- splitted.data[["T:0:2"]]

p   <- c(y0 = 0.02, mumax = .5, K = 0.05, h0 = 1)
fit2 <- fit_growthmodel(grow_baranyi, p=p, time=dat$time, y=dat$value)

## prediction for given data
predict(fit2)
#>       time          y
#>  [1,]    0 0.01218537
#>  [2,]    1 0.01417349
#>  [3,]    2 0.01763037
#>  [4,]    3 0.02295527
#>  [5,]    4 0.02979975
#>  [6,]    5 0.03680981
#>  [7,]    6 0.04250263
#>  [8,]    7 0.04631674
#>  [9,]    8 0.04855420
#> [10,]    9 0.04976575
#> [11,]   10 0.05039345
#> [12,]   11 0.05071123
#> [13,]   12 0.05087023
#> [14,]   13 0.05094931
#> [15,]   14 0.05098853
#> [16,]   15 0.05100795
#> [17,]   16 0.05101756
#> [18,]   17 0.05102232
#> [19,]   18 0.05102467
#> [20,]   19 0.05102583
#> [21,]   20 0.05102641
#> [22,]   21 0.05102669
#> [23,]   22 0.05102683
#> [24,]   23 0.05102690
#> [25,]   24 0.05102694
#> [26,]   25 0.05102695
#> [27,]   26 0.05102696
#> [28,]   27 0.05102696
#> [29,]   28 0.05102697
#> [30,]   29 0.05102697
#> [31,]   30 0.05102697

## prediction for new data
pr <- predict(fit2, newdata=data.frame(time=seq(0, 50, 0.1)))

plot(fit2, xlim=c(0, 50))
lines(pr[, c("time", "y")], lty="dashed", col="red")