Generalized logistic growth model solved as differential equation.
Arguments
- time
vector of simulation time steps
- y
named vector with initial value of the system (e.g. cell concentration)
- parms
parameters of the generalized logistic growth model
mumaxmaximum growth rate (1/time)Kcarrying capacity (max. abundance)alpha, beta, gammaparameters determining the shape of growth. Setting all values to one returns the ordinary logistic function.
- ...
additional parameters passed to the
ode-function.
Value
For ode_genlogistic: matrix containing the simulation outputs.
The return value of has also class deSolve.
For grow_genlogistic: vector of dependent variable (y).
timetime of the simulationyabundance of organisms
Details
The model is given as its first derivative:
$$dy/dt = mumax * y^alpha * (1-(y/K)^beta)^gamma$$
that is then numerically integrated ('simulated') according to time (t).
The generalized logistic according to Tsoularis (2001) is a flexible model that covers exponential and logistic growth, Richards, Gompertz, von Bertalanffy, and some more as special cases.
The differential equation is solved numerically, where function
ode_genlogistic is the differential equation, and
grow_genlogistic runs a numerical simulation over time.
The default version grow_genlogistic is run directly as compiled code,
whereas the R versions ode_logistic is
provided for testing by the user.
References
Tsoularis, A. (2001) Analysis of Logistic Growth Models. Res. Lett. Inf. Math. Sci, (2001) 2, 23-46.
See also
Other growth models:
grow_baranyi(),
grow_exponential(),
grow_gompertz(),
grow_gompertz2(),
grow_huang(),
grow_logistic(),
grow_richards(),
growthmodel,
ode_twostep()
Examples
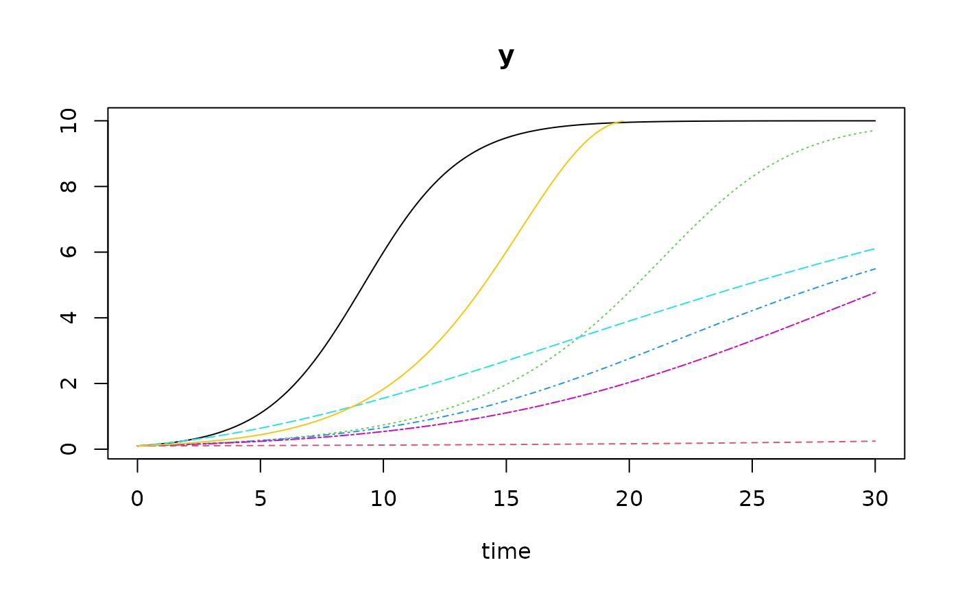
time <- seq(0, 30, length=200)
parms <- c(mumax=0.5, K=10, alpha=1, beta=1, gamma=1)
y0 <- c(y=.1)
out <- ode(y0, time, ode_genlogistic, parms)
plot(out)
out2 <- ode(y0, time, ode_genlogistic, parms = c(mumax=0.2, K=10, alpha=2, beta=1, gamma=1))
out3 <- ode(y0, time, ode_genlogistic, parms = c(mumax=0.2, K=10, alpha=1, beta=2, gamma=1))
out4 <- ode(y0, time, ode_genlogistic, parms = c(mumax=0.2, K=10, alpha=1, beta=1, gamma=2))
out5 <- ode(y0, time, ode_genlogistic, parms = c(mumax=0.2, K=10, alpha=.5, beta=1, gamma=1))
out6 <- ode(y0, time, ode_genlogistic, parms = c(mumax=0.2, K=10, alpha=1, beta=.5, gamma=1))
out7 <- ode(y0, time, ode_genlogistic, parms = c(mumax=0.3, K=10, alpha=1, beta=1, gamma=.5))
#> DLSODA- At T (=R1), too much accuracy requested
#> for precision of machine.. See TOLSF (=R2)
#> In above message, R1 = 19.9659, R2 = nan
#>
#> Warning: Excessive precision requested. scale up `rtol' and `atol' e.g by the factor 10
#> Warning: Returning early. Results are accurate, as far as they go
plot(out, out2, out3, out4, out5, out6, out7)
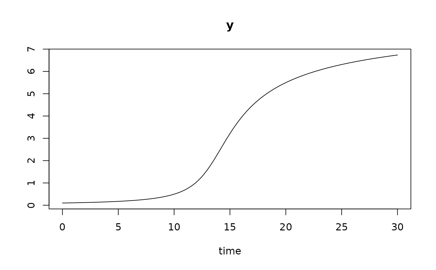
## growth with lag (cf. log_y)
plot(ode(y0, time, ode_genlogistic, parms = c(mumax=1, K=10, alpha=2, beta=.8, gamma=5)))