Skip to contents

Example data set from growth experiments with Pseudomonas putida on a tetracycline concentration gradient.

Format

Data frame with the following columns:

time

time in hours.

variable

sample code.

value

bacteria concentration measured as optical density.

conc

concentration of the antibiotics (Tetracycline).

repl

Replicate.

Source

Claudia Seiler, TU Dresden, Institute of Hydrobiology.

Details

The sample data set shows four out of six replicates of the original experiment.

Examples

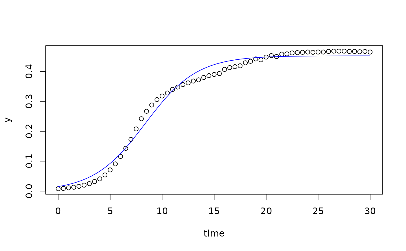
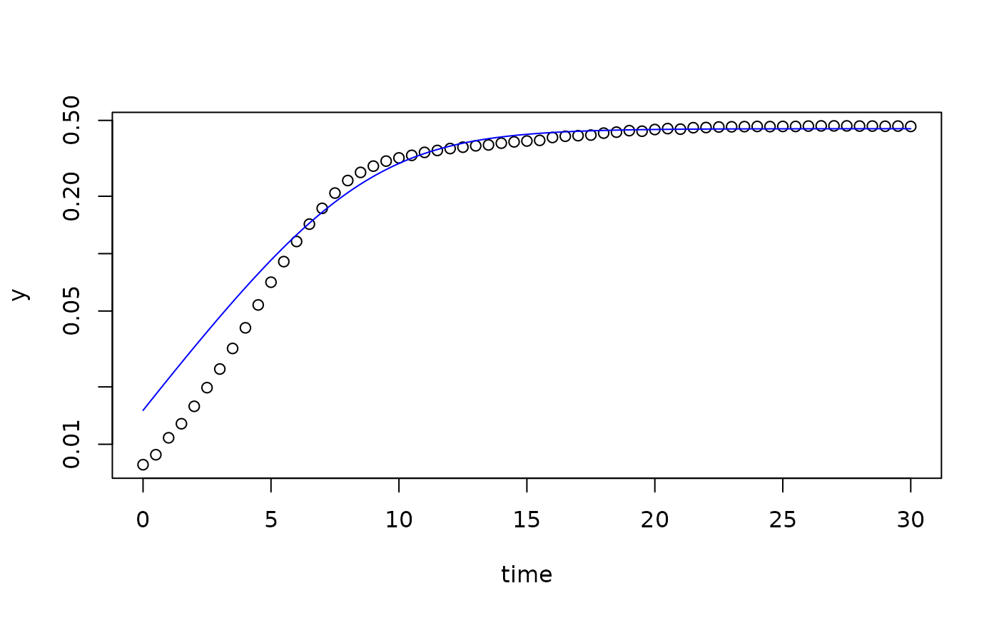
## plot data and determine growth rates
data(antibiotic)

dat <- subset(antibiotic, conc==0.078 & repl=="R4")
parms <- c(y0=0.01, mumax=0.2, K=0.5)
fit <- fit_growthmodel(grow_logistic, parms, dat$time, dat$value)
plot(fit); plot(fit, log="y")