10-Time Series Outlook

Applied Statistics – A Practical Course

Thomas Petzoldt

2026-01-13

Time series decomposition

Time series decomposition


Traditional component model

Decomposition of time series into:

  1. trend component,
  2. seasonal or periodic component and
  3. stochastic component.

Assumptions

  • additivity of components
  • approximate normal distribution of residuals
  • homogeneous variance (of residuals)

If distribution is skewed, effects are “multiplicative”, or variance changes proportionally with trend \(\rightarrow\), consider transformation.

For hydrological or biomass data with right-skewed distribution, log-transformation can be helpful.

Smoothing methods

  • alternative to parametric linear or non-linear regression vs. time
  • smoothers are based on moving averages

Example: Annual precipitation 1900-1986, Great Lakes

library(Kendall)
data(PrecipGL)
plot(PrecipGL, ylab="Precipitation (inches)")
# moving average with rectangular kernel
kernel <- rep(1, 10)  # change second value to play with bandwidth
lines(stats::filter(PrecipGL, kernel/sum(kernel)), lwd = 2, col = "blue")

Trend corrected series

smooth <- stats::filter(PrecipGL, kernel/sum(kernel))
residuals <- PrecipGL - smooth
plot(residuals)
  • Trend corrected series can be obtained by subtracting the trend.
  • Note: use stats::filter to avoid potential conflict with dplyr::filter.

Smoothing of data with 12monthly seasonality

  • For a seasonal time series with monthly values Kleiber & Zeileis (2008) recommend a filter with 13 coefficients.
  • Example: water level of Rio Negro 18 km upstream from its confluence with the Amazon River.
  • The data set is contained in the package boot (Canty & Ripley, 2022):
library(boot)
data(manaus)
tsp(manaus) # shows time series properties
[1] 1903.000 1992.917   12.000
plot(manaus)
lines(stats::filter(manaus, c(0.5, rep(1, 11), 0.5)/12), lwd=2, col="blue")

Identification of seasonal components


Periodic phenomena are common in nature

  • seasonal course of solar radiation and temperature
  • seasonal development of vegetation
  • heartbeat of animals.

Harmonic analysis

  • every time series can be described as a sum of sine and a cosine functions with different periods (Fourier series)

\[ x_t = a_0 + \sum_{p=1}^{N/2-1} \big(a_p \cos(2 \pi p t/N) + b_p \sin(2 \pi p t/N)\big) +a_{N/2} \cos(\pi t), \qquad t=1 \dots N \]

with

\(x_t\): equidistant time series, \(t\): time step, \(N\): number of data, \(a_p, b_p\): Fourier coefficients,
\(a_0 = \bar{x}\), \(p\): order of the periodic component

Formulation with single cosine term and shift \(\Phi\)


  • equation with sine and cosine terms can be transformed in an equation with cosine terms only
  • use of trigonometric addition formulas:


\[ x_t = a_0 + \sum(R_p \cdot \cos(2 \pi p t / N + \Phi_p) \]

with:

  • amplitude: \(R_p = \sqrt{a_p^2 + b_p^2}\)
  • phase shift: \(\Phi_p = \arctan(-b_p/a_p)\)


see: https://en.wikipedia.org/wiki/List_of_trigonometric_identities

Different methods to identify seasonal parameters

  1. linear regression with the lm function, e.g. for a single periodic component:
    m <- lm(x ~ sin(2 * pi * t / N) + cos(2 * pi * t / N))
  2. nonlinear regression with nls (allows to identify the period as nonlinear parameter)
  3. classical Fourier analysis:

\[\begin{align} a_0 &= \bar{x}\\ a_{N/2} &= \sum_{t=1}^{N}(-1)^tx_t/N\\ a_p &= 2 \frac{\sum_{t=1}^{N} x_t \cos(2 \pi p t/N)}{N}\\ b_p &= 2 \frac{\sum_{t=1}^{N} x_t \sin(2 \pi p t/N)}{N} \end{align}\]

  1. Fast Fourer transform (FFT) using complex numbers
    used in signal processing (CD and MP3 players, mobile phones, …

Fast Fourier transform

Show the code
# create an arbitrary time series
set.seed(123)
n   <- 360
t   <- 0:(n-1)
x   <- sin(t*2*pi/n) + rnorm(n, sd = 0.2)
plot(t, x, xlim = c(-10, 370))
  
# perform the FFT
p       <- fft(x)

# invert the FFT for the main period only (keep parameters 1..3)
p[4:n]  <- 0 # set higher order parameters to zero
x_sim      <- fft(p, inverse = TRUE)
lines(t, 2 * Re(x_sim)/n - Re(p[1])/n, col = "blue", lwd = 4)


## perform FFT and invert it for all periods
p       <- fft(x)
p[(n/2):n] <- 0 # set only the "redundant frequencies" to zero
x_sim         <- fft(p, inverse = TRUE)
lines(t, 2 * Re(x_sim)/n - Re(p[1])/n, col = "red", lwd = 1)

Automatic time series decomposition

Function decompose implements the classical approach with symmetric moving average.

manaus_dec <- decompose(manaus)
plot(manaus_dec)
  • In this data set the seasonal component possesses an additive character.
  • In case of a multiplicative components, use type = "multiplicative".

Automatic time series decomposition II

manaus_stl <- stl(manaus, s.window=13)
plot(manaus_stl)

ARMA, ARIMA and SARIMA models


  • based on autoregressive (AR) and moving average (MA) terms
  • the “I” in ARIMA stands for differencing
  • seasonal ARIMA models (SARIMA) consider seasonal dependency,
    e.g. differencing with a lag of 12 months
  • very important techniques for analyzing time series and for forecasting
  • for the interested: self-study, see Kleiber & Zeileis (2008) or Shumway & Stoffer (2019).

Example: SARIMA model for CO2 in the atmosphere

Show the code
## read data directly from NOAA
#co2 <- read_csv("https://gml.noaa.gov/webdata/ccgg/trends/co2/co2_mm_mlo.csv", 
#                skip = 40, show_col_types = FALSE)

## local version
co2 <- read_csv("../data/co2_mm_mlo.csv", skip=40, show_col_types = FALSE)

## year 1958 is incomplete, so let's start with 1959
co2 <- dplyr::filter(co2, year > 1958) 

co2 |> 
  mutate(date=as_date(paste(year, month, 15, sep="."))) |>
  ggplot(aes(date, average)) + 
  geom_line() + ylab(expression(CO[2]~"in the atmosphere (ppm)")) + 
  ggtitle("Mauna Loa Observatory, Hawaii, Monthly Averages") +
  geom_smooth()

Fit SARIMA model to CO2 data

Show the code
library(astsa)

## convert to a time series object
co2ts <- ts(co2$average, start=1959, frequency = 12)

## fit a SARIMA model and show the results
m <- sarima(co2ts, p = 1, d = 1, q = 1, P = 0, D = 1, Q = 1, S = 12)

Mathematical details can be found in Shumway & Stoffer (2019).

SARIMA-forecast of CO2

Show the code
m <- sarima.for(co2ts, n.ahead = 12 * 27, 
           p = 1, d = 1, q = 1, P = 0, D = 1, Q = 1, S = 12, 
           plot.all = TRUE)

Mathematical details can be found in Shumway & Stoffer (2019).

Identification of structural breaks

Identification of structural breaks

Structural break

If one or more statistical parameters are not constant over the whole length of a time series it is called a structural break. For instance a location parameter (e.g. the mean), a trend or another distribution parameter (such as variance or covariance) may change.


Testing for structural breaks

The package strucchange implements a number of tests for identification of structural changes or parameter instability of time series. Generally, two approaches are available: fluctuation tests and F-based tests. Fluctuation tests try to detect the structural instability with cumulative or moving sums (CUSUMs and MOSUMs).

The Nile data set

The Nile data set contains measurements of annual discharge of the Nile at Aswan from 1871 to 1970 (see help page ?Nile for data source):

library(strucchange)
data("Nile")
plot(Nile)

Test for existence of structural break

  • Are there are periods with different flow?
  • use of OLS-CUSUM (ordinary least squares, cumulative sum) or MOSUM tests (moving average sum)
  • efp = empirical fluctuation process,sctest = structural change test
ocus <- efp(Nile ~ 1, type = "OLS-CUSUM")
plot(ocus)
sctest(ocus)

    OLS-based CUSUM test

data:  ocus
S0 = 2.9518, p-value = 5.409e-08

Breakpoint analysis


Purpose

  • find structural breaks with respect to a specified linear model
  • identify their number and location
  • very general approach, allows different linear models, covariates, …
  • we show the most simplest case here

Method

  • employs a BIC-based model selection technique
  • Which model is the best?

See also

  • Bai & Perron (2003), Zeileis et al. (2002), Zeileis et al. (2003).

Remember: model selection techniques


  • model selection is a modern alternative to \(p\)-value based testing
  • Based on the principle of parsimony:
    • Models with more parameters fit better, but may contain unnecessary factors.
    • \(\rightarrow\) Find an optimal compromise between model fit and complexity.
    • Keep it as simple as possible, but not simpler.
  • Multiple model candidates for the same phenomenon:
    • Full model: includes all potential factors.
    • Several reduced models, derived from the full model.
    • Null model without explanatory factors.
  • Select minimal adequate model (= “optimal”, “most parsimonious”).

More, see Johnson & Omland (2004)

Model selection with AIC and BIC


Models with more parameters fit better \(\leftrightarrow\) but more parameters (\(k\)) are “more complex”.

  • Goodness of fit can be measured with likelihood \(L\)
    (how likely are the data given a specific model).
  • Log likelihood: makes the problem additive.
  • Penalty: penalises number of parameters (e.g. \(2 k\))
  • AIC (Akaike Information Criterion):

\[ AIC = - 2 \ln(L) + 2 k \]

  • Alternatively: BIC (Bayesian Information Criterion), considers sample size (\(n\)):

\[ BIC = - 2 \ln(L) + k \cdot \ln(n) \]

The model with smallest AIC (resp. BIC) is considered as “optimal” model.

Breakpoint analysis


bp.nile <- breakpoints(Nile ~ 1)
summary(bp.nile)

     Optimal (m+1)-segment partition: 

Call:
breakpoints.formula(formula = Nile ~ 1)

Breakpoints at observation number:
                      
m = 1      28         
m = 2      28       83
m = 3      28    68 83
m = 4      28 45 68 83
m = 5   15 30 45 68 83

Corresponding to breakdates:
                                
m = 1        1898               
m = 2        1898           1953
m = 3        1898      1938 1953
m = 4        1898 1915 1938 1953
m = 5   1885 1900 1915 1938 1953

Fit:
                                                   
m   0       1       2       3       4       5      
RSS 2835157 1597457 1552924 1538097 1507888 1659994
BIC    1318    1270    1276    1285    1292    1311

Notes

  • computationally intensive
  • consider to adapt model and parameter h, see help page

Likelihood profile: \(\rightarrow\) optimal number of breaks?

bp.nile <- breakpoints(Nile ~ 1)
plot(bp.nile)
  • RSS (residual sum of squares) shows goodness of fit. The smaller the better.
  • Penalty = 2 \(\cdot\) number of breakpoints (not shown).
  • Minimum BIC indicates optimal model.

Plot breakpoints and confidence interval

## fit null hypothesis model and model with 1 breakpoint
fm0 <- lm(Nile ~ 1)
fm1 <- lm(Nile ~ breakfactor(bp.nile,  breaks = 1))
plot(Nile)
lines(ts(fitted(fm0),  start = 1871),  col = 3)
lines(ts(fitted(fm1),  start = 1871),  col = 4)
lines(bp.nile)

## confidence interval
ci.nile <- confint(bp.nile)
#ci.nile  # output numerical results
lines(ci.nile)

Test significance of breakpoints


Likelihood ratio test

anova(fm0, fm1)
Analysis of Variance Table

Model 1: Nile ~ 1
Model 2: Nile ~ breakfactor(bp.nile, breaks = 1)
  Res.Df     RSS Df Sum of Sq     F    Pr(>F)    
1     99 2835157                                 
2     98 1597457  1   1237700 75.93 7.439e-14 ***
---
Signif. codes:  0 '***' 0.001 '**' 0.01 '*' 0.05 '.' 0.1 ' ' 1

BIC based comparison

BIC(fm0, fm1)
    df      BIC
fm0  2 1318.242
fm1  3 1265.479

AIC based comparison

AIC(fm0, fm1)
    df      AIC
fm0  2 1313.031
fm1  3 1257.663

\(\rightarrow\) model with structural break in 1898 is significantly better than the null model.

Diagnostics


par(mfrow = c(2, 2))
acf(residuals(fm0))     # model without breaks
acf(residuals(fm1))     # model with 1 breakpoint
qqnorm(residuals(fm0))
qqnorm(residuals(fm1))

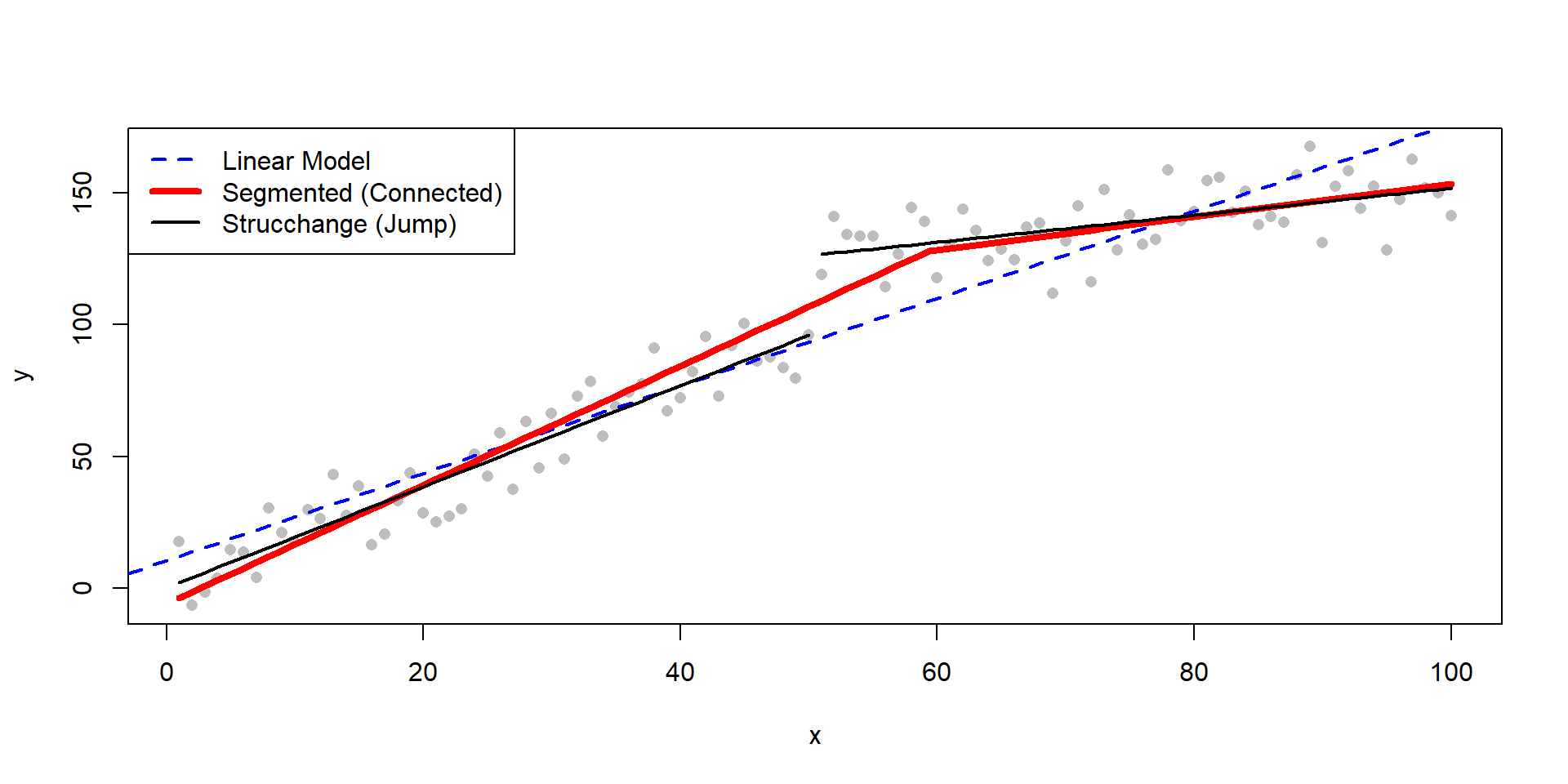
Comparison to segmented regression

Show the code
library(segmented)

# 1. Create sample data with a breakpoint
#    formula changes at x = 50
set.seed(4123)
x <- 1:100
df <- data.frame(
  x = x,
  y = c(2 * x[1:50], 100 + 0.5 * x[51:100]) + rnorm(100, 0, 10)
)

# 2. Fit a standard linear model first
m1 <- lm(y ~ x, data = df)

# 3. Fit the segmented model
# psi = 50 is an initial guess for the breakpoint
m2 <- segmented(m1, seg.Z = ~ x, psi = 50)

# 4. Visualization
plot(y ~ x, data = df, pch = 16, col="gray")
abline(m1, col="blue", lwd=2, lty="dashed")
plot(m2, add = TRUE, col = "red", lwd = 4)

# ===================================================

# 5. Comparison with a strucchange model
library(strucchange)

bp <- breakpoints(y ~ x, data = df, breaks = 1)
fac <- breakfactor(bp)
m3  <- lm(y ~ x * fac, data = df)

# Split data to avoid the vertical connecting line
df$p <- predict(m3)
s1 <- subset(df, fac == "segment1")
s2 <- subset(df, fac == "segment2")

lines(p ~ x, data = s1, lwd = 2, col = "black")
lines(p ~ x, data = s2, lwd = 2, col = "black")

# 6. Add legend
legend("topleft", 
       legend = c("Linear Model", "Segmented (Connected)", "Strucchange (Jump)"), 
       col = c("blue", "red", "black"), 
       lwd = c(2, 4, 2), 
       lty = c("dashed", "solid", "solid"),
       bg = "white")

Model results

Estimated changepoint and slopes

summary(m2)

    ***Regression Model with Segmented Relationship(s)***

Call: 
segmented.lm(obj = m1, seg.Z = ~x, psi = 50)

Estimated Break-Point(s):
          Est. St.Err
psi1.x 59.382  2.964

Coefficients of the linear terms:
            Estimate Std. Error t value Pr(>|t|)    
(Intercept) -5.95146    3.12427  -1.905   0.0598 .  
x            2.25394    0.09057  24.887   <2e-16 ***
U1.x        -1.62792    0.18070  -9.009       NA    
---
Signif. codes:  0 '***' 0.001 '**' 0.01 '*' 0.05 '.' 0.1 ' ' 1

Residual standard error: 11.85 on 96 degrees of freedom
Multiple R-Squared: 0.947,  Adjusted R-squared: 0.9453 

Boot restarting based on 6 samples. Last fit:
Convergence attained in 2 iterations (rel. change 9.5841e-12)

Lists the slopes of each segment

slope(m2)
$x
          Est.  St.Err. t value CI(95%).l CI(95%).u
slope1 2.25390 0.090568 24.8870   2.07420   2.43370
slope2 0.62602 0.156370  4.0035   0.31563   0.93641

Comparison: strucchange vs. segmented

  • Continuity
    • segmented models are connected
    • strucchange allows vertical jumps at the breakpoint
  • Parameter Shifts
    • segmented usually focuses on a change in slope
    • strucchange allows every parameter (intercept and all slopes) to change simultaneously
  • Estimation
    • segmented uses an iterative approach (requires start value)
    • strucchange uses dynamic programming to find the globally optimal break locations.

When to use “jumps”

  • Appropriate for sudden “shocks”, (e.g., new dam, market crash).
  • Inappropriate for continuous processes (e.g., plant growth, aging), where a sudden jump is physically or biologically impossible.

References


Bai, J., & Perron, P. (2003). Computation and analysis of multiple structural change models. J. Appl. Econ., 18:, 1–22.
Canty, A., & Ripley, B. D. (2022). Boot: Bootstrap r (s-plus) functions.
Cleveland, R. B., Cleveland, W. S., McRae, J. E., & Terpenning, I. (1990). STL: A seasonal-trend decomposition procedure based on loess. Journal of Official Statistics, 6, 3–73.
Cleveland, W. S. (1979). Robust locally weighted regression and smoothing scatterplots. Journal of the American Statistical Association, 74(368), 829–836. https://doi.org/10.1080/01621459.1979.10481038
Johnson, G., Jerald, & Omland, K. S. (2004). Model Selection in Ecology and Evolution. Trends in Ecology and Evolution, 19(2), 101–108. https://doi.org/10.1016/j.tree.2003.10.013
Kleiber, C., & Zeileis, A. (2008). Applied econometrics with R. Springer.
Shumway, R. H., & Stoffer, D. S. (2019). Time series: A data analysis approach using r. CRC Press.
Zeileis, A., Kleiber, C., Krämer, W., & Hornik, K. (2003). Testing and dating of structural changes in practice. Computational Statistics and Data Analysis, 44(1–2), 109–123.
Zeileis, A., Leisch, F., Hornik, K., & Kleiber, C. (2002). Strucchange: An r package for testing for structural change in linear regression models. Journal of Statistical Software, 7(2), 1–38. http://www.jstatsoft.org/v07/i02/